Skip to content Skip to sidebar Skip to footer

How Do You Find The Minimum In Math - Image analyst about 1 hour ago i'm trying to find the max and min of a function over a function, but i can't seem to figure out how.

How Do You Find The Minimum In Math - Image analyst about 1 hour ago i'm trying to find the max and min of a function over a function, but i can't seem to figure out how.. Substituting these values in f (x) will give you either points of maxima or minima based on double derivative condition. How do you determine the minimum pumping length for some machine in graph form? Follow 8 views (last 30 days) show older comments. How do i find the maximum and minimum of a function in a given domain? Finding the maximum and minimum values of the function examples.

They illustrate one of the most important applications of the first derivative. The value of the function at a maximum point is called the maximum value of the function, denoted, and the value of the function at a minimum point is called the minimum value of the function. } /** * returns a random real number between x1 (inclusive) and x2 (exclusive). Ria singh alrededor de 2 horas ago. To find the maximum and minimum value we need to apply those x values in the given function.

Mean Median Mode Minimum Maximum Posters Math Charts Classroom Posters Mean Median And Mode
Mean Median Mode Minimum Maximum Posters Math Charts Classroom Posters Mean Median And Mode from i.pinimg.com
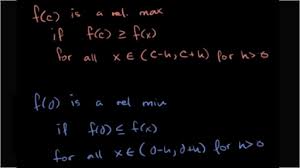
Find the maximum and minimum value of the function. A point on a curve is considered a relative minimum if the function is defined at that point and the function has equal or greater values an infinitesimal distance on both sides of the point. Enter numbers separated by comma, space or line break: Entdecken sie puristische herrenmode von minimum. The first step is to determine whether your equation gives a maximum or. Follow 8 views (last 30 days) show older comments. I'm trying to find the max and min of a function over a function, but i can't seem to figure out how. This is the point you are trying to find.

To find the maximum or minimum value of quadratic functions, you need to:

Drop from the list any critical points that aren't in the interval a, b. The number is always * smaller than x. A point on a curve is considered a relative minimum if the function is defined at that point and the function has equal or greater values an infinitesimal distance on both sides of the point. They illustrate one of the most important applications of the first derivative. I'm trying to find the max and min of a function over a function, but i can't seem to figure out how. To determine their nature is much harder, you have to deter. If your text contains other extraneous content, you can use our number extractor to extract numbers before calculation. Finding that minimum value is how to find minimum profit. How do i find the maximum and minimum of a function in a given domain? The function f (x) is minimum when f''(x) > 0; Notice where the vertex is. How do you determine the minimum pumping length for some machine in graph form? The value of the function at a maximum point is called the maximum value of the function, denoted, and the value of the function at a minimum point is called the minimum value of the function.

/** * returns a random real number between 0 and x. The value of the function at a maximum point is called the maximum value of the function, denoted, and the value of the function at a minimum point is called the minimum value of the function. Between each pair x i < x i + 1 of points in the list, choose an auxiliary point t i + 1. Find minimum and maximum in number set. Entdecken sie puristische herrenmode von minimum.

Set Minimum Math Font Size Tex Latex Stack Exchange
Set Minimum Math Font Size Tex Latex Stack Exchange from i.stack.imgur.com
If you are trying to find a point that is lower than the other points around it, press min, if you are trying to find a point that is higher than the other points around it, press max. The local minima and maxima can be found by solving f' (x) = 0. Substituting these values in f (x) will give you either points of maxima or minima based on double derivative condition. Calculus can be used to find the exact maximum and minimum using derivatives. If you have a function f (x) = 0 and you want to find its minima or maxima then you can differentiate it to get f' (x) = 0 and find out critical points from this equation. Q6 and q3 are both accept states. There is only one global maximum (and one global minimum) but there can be more than one local maximum or minimum. I know i need to find f ′ ( x) = 0 but.

For kindergarten, first grade and second grade

Determine whether is it upwards or downwards graph; All answers have to be completed on maxima. Findminimum f, { x, x 0, x min, x max } searches for a local minimum, stopping the search if x ever gets outside the range x min to x max. I have also completed that. How do i find the maximum and minimum of a function in a given domain? How would i calculate the minimum pumping length with just this information? The function f (x) is minimum when f''(x) > 0; /** * returns a random real number between 0 and x. Finding the five number summary. How do i find the maximum and minimum of a function in a given domain? Notice where the vertex is. If the functions are differentiable, local extrema must be critical points, so you take all first order partial derivatives, set them equal to zero and solve them for the critical points. Finding the lower or first quartile.

Find minimum and maximum in number set. The global minimum is −infinity; Part c asks calculate the x and y coordinates of the local maximum of f. Finding the five number summary. To find the maximum and minimum value we need to apply those x values in the given function.

Math 1009 Lecture 13 Ch4 Maximum Minimum Values Oneclass
Math 1009 Lecture 13 Ch4 Maximum Minimum Values Oneclass from new-docs-thumbs.oneclass.com
Solve f ′ ( x) = 0 to find critical points of f. They illustrate one of the most important applications of the first derivative. If you have a function f (x) = 0 and you want to find its minima or maxima then you can differentiate it to get f' (x) = 0 and find out critical points from this equation. By default, all variables are assumed to be real. Find minimum and maximum in number set. How do you determine the minimum pumping length for some machine in graph form? Symbolically, this can be written as follows: Except when f and cons are both linear, the results found by findminimum may correspond only to local, but not global, minima.

They illustrate one of the most important applications of the first derivative.

The following problems are maximum/minimum optimization problems. Find the corresponding f (x) value. Find minimum and maximum in number set. Finde hier eine große auswahl an kleidung für damen und herren. A point on a curve is considered a relative minimum if the function is defined at that point and the function has equal or greater values an infinitesimal distance on both sides of the point. The arrows can flow in any direction. Solve f ′ ( x) = 0 to find critical points of f. My equation is y = (1*x^4)/4. If your text contains other extraneous content, you can use our number extractor to extract numbers before calculation. If you are trying to find a point that is lower than the other points around it, press min, if you are trying to find a point that is higher than the other points around it, press max. One of the many practical applications of calculus comes in the form of identifying the maximum or minimum values of a function. Notice where the vertex is. Assuming this function continues downwards to left or right:

Find the maximum and minimum value of the function how do you find the minimum. Find the corresponding f (x) value.